Image Details

Choose export citation format:

Detection of the Baryon Acoustic Peak in the Large‐Scale Correlation Function of SDSS Luminous Red Galaxies

  • Authors: Daniel J. Eisenstein, Idit Zehavi, David W. Hogg, Roman Scoccimarro, Michael R. Blanton, Robert C. Nichol, Ryan Scranton, Hee-Jong Seo, Max Tegmark, Zheng Zheng, Scott F. Anderson, Jim Annis, Neta Bahcall, Jon Brinkmann, Scott Burles, Francisco J. Castander, Andrew Connolly, Istvan Csabai, Mamoru Doi, Masataka Fukugita, Joshua A. Frieman, Karl Glazebrook, James E. Gunn, John S. Hendry, Gregory Hennessy, Zeljko Ivezić, Stephen Kent, Gillian R. Knapp, Huan Lin, Yeong-Shang Loh, Robert H. Lupton, Bruce Margon, Timothy A. McKay, Avery Meiksin, Jeffery A. Munn, Adrian Pope, Michael W. Richmond, David Schlegel, Donald P. Schneider, Kazuhiro Shimasaku, Christopher Stoughton, Michael A. Strauss, Mark SubbaRao, Alexander S. Szalay, István Szapudi, Douglas L. Tucker, Brian Yanny, and Donald G. York

Eisenstein et al. 2005 The Astrophysical Journal 633 560.

  • Provider: AAS Journals

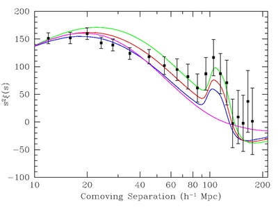
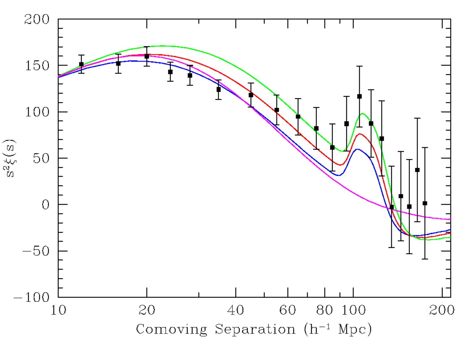
Caption: Fig. 3.

Same as Fig. 2, but plotting the correlation function times s2. This shows the variation of the peak at 20 h−1 Mpc scales that is controlled by the redshift of equality (and hence by Ωmh2). Varying Ωmh2 alters the amount of large‐to‐small scale correlation, but boosting the large‐scale correlations too much causes an inconsistency at 30 h−1 Mpc. The pure CDM model (magenta line) is actually close to the best fit due to the data points on intermediate scales.
Other Images in This Article

Show More

Copyright and Terms & Conditions