Image Details
 
                    Caption: Figure 31.
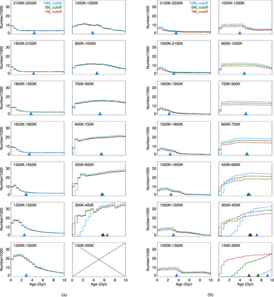
Simulated age distributions for each of the 150 K Teff bins. (a) The single power law of α = 0.5 coupled with the Saumon & Marley (2008) evolutionary tracks. (b) The same, but coupled with the Baraffe et al. (2003) evolutionary tracks. Because the Saumon & Marley (2008) models do not extend below 300 K, the bin in the lower right of panel (a) is empty. For ease of comparison, the same x and y scaling is used for all subpanels. The colored triangles along the bottom edge of each subpanel show the median age for cutoff masses of 10MJup (blue), 5MJup (green), and 1MJup (red); these triangles overlap in all but the coldest bins.
© 2021. The American Astronomical Society. All rights reserved.