Image Details
 
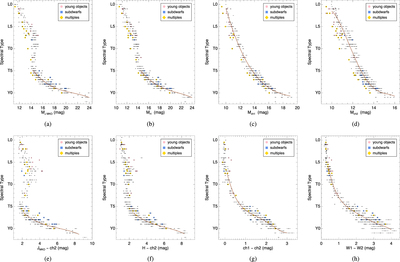
                    Caption: Figure 17.
Plots identical to those of Figure 16, except that the x- and y-axes have been reversed. Polynomial fits to provide a translation from absolute magnitude or color into spectral type are shown in brown and described in Table 13. These fits exclude known young objects (pink circles, Section 7.1), subdwarfs (blue squares, Section 7.2), and multiple systems (yellow diamonds, Section 7.3).
© 2021. The American Astronomical Society. All rights reserved.