Image Details

Choose export citation format:

On the Role of Noncircular Motions in MaNGA Galaxies. I. Global Properties

  • Authors: Carlos López-Cobá, Lihwai Lin, Justus Neumann, Matthew A. Bershady

Carlos López-Cobá et al 2024 The Astrophysical Journal 975 .

  • Provider: AAS Journals

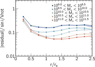
Caption: Figure 7.

Radial distribution of the circular model residuals (in absolute value) normalized by the rotational curve V t (r) for the 1624 objects in our kinematic sample. Each dot represents the median value of the residuals in 0.25r e bins. Galaxies are segregated into five different mass bins represented by different colors.

Other Images in This Article
Copyright and Terms & Conditions

Additional terms of reuse