Image Details

Choose export citation format:

SN 2020uem: a Possible Thermonuclear Explosion within a Dense Circumstellar Medium. I. The Nature of Type IIn/Ia-CSM SNe from Photometry and Spectroscopy

  • Authors: Kohki Uno, Keiichi Maeda, Takashi Nagao, Tatsuya Nakaoka, Kentaro Motohara, Akito Tajitsu, Masahiro Konishi, Shuhei Koyama, Hidenori Takahashi, Masaomi Tanaka, Hanindyo Kuncarayakti, Miho Kawabata, Masayuki Yamanaka, Kentaro Aoki, Keisuke Isogai, Kenta Taguchi, Mao Ogawa, Koji S. Kawabata, Yuzuru Yoshii, Takashi Miyata, Ryo Imazawa

Kohki Uno et al 2023 The Astrophysical Journal 944 .

  • Provider: AAS Journals

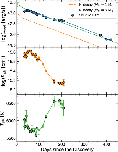
Caption: Figure 3.

Top: quasi-bolometric (B to I or g to i band) light curve of SN 2020uem. The orange and green dashed lines show light curves powered by the radioactive decay of 1 M and 3 M of 56Ni , respectively. Middle: time evolution of the photospheric radius estimated by SED fitting. Bottom: time evolution of the photospheric temperature.

Other Images in This Article

Show More

Copyright and Terms & Conditions

Additional terms of reuse