Image Details

Choose export citation format:

Correlations between Black Holes and Host Galaxies in the Illustris and IllustrisTNG Simulations

  • Authors: Yuan Li, Melanie Habouzit, Shy Genel, Rachel Somerville, Bryan A. Terrazas, Eric F. Bell, Annalisa Pillepich, Dylan Nelson, Rainer Weinberger, Vicente Rodriguez-Gomez, Chung-Pei Ma, Ruediger Pakmor, Lars Hernquist, and Mark Vogelsberger

2020 The Astrophysical Journal 895 102.

  • Provider: AAS Journals

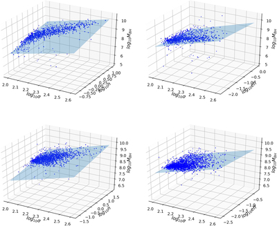
Caption: Figure A1.

SMBH fundamental planes in Illustris (top) and TNG100 (bottom). Left panels show the MBHσn planes, where n is the Sérsic index, and right panels show the MBHσ–eff planes with eff being the baryon conversion efficiency.

Other Images in This Article
Copyright and Terms & Conditions