Image Details

Choose export citation format:

Electron and Proton Heating in Transrelativistic Magnetic Reconnection

  • Authors: Michael E. Rowan, Lorenzo Sironi, and Ramesh Narayan

2017 The Astrophysical Journal 850 29.

  • Provider: AAS Journals

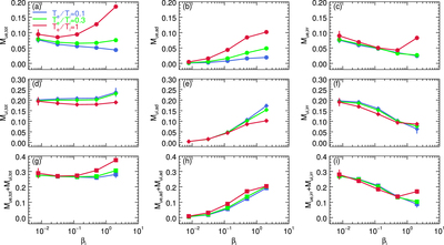
Caption: Figure 27.

Same as Figure 11, but for the internal energies, ﹩{u}_{{\rm{e}}},{u}_{{\rm{i}}}﹩, instead of temperatures, ﹩{T}_{{\rm{e}}},{T}_{{\rm{i}}}﹩. Plasma ﹩{\beta }_{{\rm{i}}}﹩ and ﹩{T}_{{\rm{e}}}/{T}_{{\rm{i}}}﹩ dependence of various heating efficiencies: (a) electron total, ﹩{M}_{u{\rm{e}},\mathrm{tot}};﹩ (b) electron adiabatic, ﹩{M}_{u{\rm{e}},\mathrm{ad}};﹩ (c) electron irreversible, ﹩{M}_{u{\rm{e}},\mathrm{irr}};﹩ (d) proton total, ﹩{M}_{u{\rm{i}},\mathrm{tot}};﹩ (e) proton adiabatic, ﹩{M}_{u{\rm{i}},\mathrm{ad}};﹩ (f) proton irreversible, ﹩{M}_{u{\rm{i}},\mathrm{irr}};﹩ (g) electron and proton total, ﹩{M}_{u{\rm{e}},\mathrm{tot}}+{M}_{u{\rm{i}},\mathrm{tot}};﹩ (h) electron and proton adiabatic, ﹩{M}_{u{\rm{e}},\mathrm{ad}}+{M}_{u{\rm{i}},\mathrm{ad}};﹩ (i) electron and proton irreversible, ﹩{M}_{u{\rm{e}},\mathrm{irr}}+{M}_{u{\rm{i}},\mathrm{irr}}﹩. The simulations shown here use a mass ratio ﹩{m}_{{\rm{i}}}/{m}_{{\rm{e}}}=25﹩ and magnetization ﹩{\sigma }_{w}=0.1﹩. As in earlier plots, blue, green, and red points correspond to simulations with upstream ﹩{T}_{{\rm{e}}}/{T}_{{\rm{i}}}﹩ ratios of ﹩0.1,0.3,﹩ and 1, respectively.

Other Images in This Article

Show More

Copyright and Terms & Conditions