Image Details

Choose export citation format:

Helioseismology of Pre-emerging Active Regions. III. Statistical Analysis

  • Authors: G. Barnes, A. C. Birch, K. D. Leka, and D. C. Braun

Barnes et al. 2014 The Astrophysical Journal 786 19.

  • Provider: AAS Journals

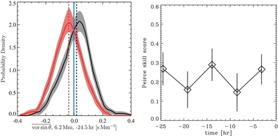
Caption: Figure 6.

Nonparametric discriminant analysis for an antisymmetric average of the vertical vorticity, , in filter TD4, in the same format as Figure 1. Left: 24.5 hr before the emergence time, the density estimate for NE regions has a peak and a mean value that are slightly positive, whereas the peak and mean value for the PE distribution are at negative values. Right: given the uncertainties in the skill score, the performance of this variable does not clearly evolve with time.

Other Images in This Article
Copyright and Terms & Conditions