Image Details

Choose export citation format:

Helioseismology of Pre-emerging Active Regions. III. Statistical Analysis

  • Authors: G. Barnes, A. C. Birch, K. D. Leka, and D. C. Braun

Barnes et al. 2014 The Astrophysical Journal 786 19.

  • Provider: AAS Journals

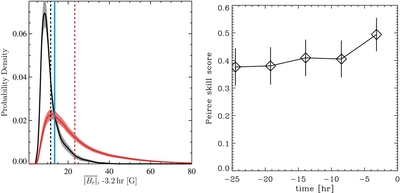
Caption: Figure 1.

Nonparametric discriminant analysis for the mean unsigned magnetic flux, . Left: probability density estimates for the NE regions (black), and the PE regions (red) in time interval 4, centered 3.2 hr before the emergence time, with the mean of each sample indicated by a vertical dashed line in the corresponding color. The shaded region is a 1σ estimate of the uncertainty. The discriminant boundary, where the two probability density estimates are equal, is indicated by a vertical blue line; an observation to the right of the boundary would be classified as an emergence. There is an obvious difference between the density estimates for the NE and PE regions: the PE distribution has a longer tail to high field strength, but there is also considerable overlap of the distributions. Right: evolution of the Peirce skill score. There is perhaps a weak increase in the performance of closer to the emergence time that is likely due to the onset of emergence during time interval 4 for some regions, but for most of the time intervals shown, the skill score is approximately constant.

Other Images in This Article
Copyright and Terms & Conditions