Image Details

Choose export citation format:

The Deflagration Stage of Chandrasekhar Mass Models for Type Ia Supernovae. I. Early Evolution

  • Authors: C. M. Malone, A. Nonaka, S. E. Woosley, A. S. Almgren, J. B. Bell, S. Dong, and M. Zingale

Malone et al. 2014 The Astrophysical Journal 782 11.

  • Provider: AAS Journals

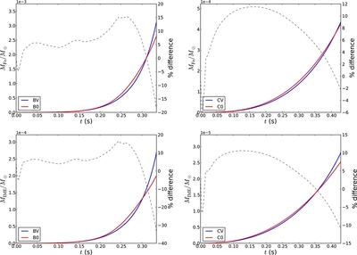
Caption: Figure 15.

Comparisons of nucleosynthetic yields of iron-group elements (top row) and IME (bottom row) for both the B series (left column) and C series (right column). The blue(red) lines correspond to models with(without) a background convective flow field. The dashed gray line shows the percent difference between models with and without the background field; positive values indicate more production in the models without the background field. These plots indicate that the more centrally ignited models with the background turbulence burn more material than those without, which is in contrast to the further off-center ignition models shown in Figure 10.

Other Images in This Article

Show More

Copyright and Terms & Conditions