Image Details

Choose export citation format:

The Deflagration Stage of Chandrasekhar Mass Models for Type Ia Supernovae. I. Early Evolution

  • Authors: C. M. Malone, A. Nonaka, S. E. Woosley, A. S. Almgren, J. B. Bell, S. Dong, and M. Zingale

Malone et al. 2014 The Astrophysical Journal 782 11.

  • Provider: AAS Journals

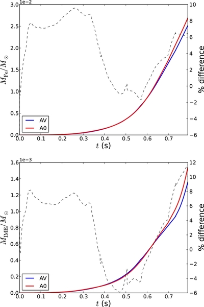
Caption: Figure 10.

Nucleosynthetic yields (left axes) and percent difference (right axes) as a function of time for Models AV (blue) and A0 (red). The top plot shows the production of iron-group material, and the bottom panel shows IME. The percent differences are formulated such that a positive value indicates more production in Model A0 than Model AV. In general, the model without the background flow field (A0) burns more IME and iron-group material.

Other Images in This Article

Show More

Copyright and Terms & Conditions