Image Details

Choose export citation format:

An Off-center Density Peak in the Milky Way's Dark Matter Halo?

  • Authors: Michael Kuhlen, Javiera Guedes, Annalisa Pillepich, Piero Madau, and Lucio Mayer

Kuhlen et al. 2013 The Astrophysical Journal 765 10.

  • Provider: AAS Journals

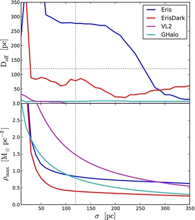
Caption: Figure 3.

Dependence of D off and ρ max on the width σ of the Gaussian density smoothing kernel. The gravitational softening scale epsilon soft = 124 pc for Eris and ErisDark is indicated with the dotted line. In the dissipationless simulations (ErisDark, VL2, and GHalo) the DM offset remains well below epsilon soft for all σ. In Eris the offset is larger than epsilon soft out to σ = 260 pc (about 2 epsilon soft). The maximum density is about a factor of two higher in Eris than in ErisDark, and depends only mildly on σ for σ > epsilon soft. ρ max is larger in VL2 due to its higher halo mass.

Other Images in This Article
Copyright and Terms & Conditions