Image Details

Choose export citation format:

An Off-center Density Peak in the Milky Way's Dark Matter Halo?

  • Authors: Michael Kuhlen, Javiera Guedes, Annalisa Pillepich, Piero Madau, and Lucio Mayer

Kuhlen et al. 2013 The Astrophysical Journal 765 10.

  • Provider: AAS Journals

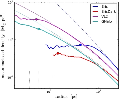
Caption: Figure 1.

Radial profiles of the average enclosed dark matter density langρ rang(< r) centered on the location of the potential minimum, starting at the radius enclosing at least 20 particles. The vertical dotted lines indicate the softening lengths, epsilon soft = 124, 124, 40, and 60 pc for Eris, ErisDark, VL2, and GHalo, respectively. The location of the maximum enclosed density (for r > epsilon soft) is denoted with a filled circle. Dotted lines show the best-fit Einasto profiles (fitted to 1 kpc < r < R vir), whose parameters are given in Table 1.

Other Images in This Article
Copyright and Terms & Conditions