Image Details

Choose export citation format:

Water Absorption in Galactic Translucent Clouds: Conditions and History of the Gas Derived from Herschel/HIFI PRISMAS Observations

  • Authors: N. Flagey, P. F. Goldsmith, D. C. Lis, M. Gerin, D. Neufeld, P. Sonnentrucker, M. De Luca, B. Godard, J. R. Goicoechea, R. Monje, and T. G. Phillips

Flagey et al. 2013 The Astrophysical Journal 762 11.

  • Provider: AAS Journals

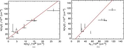
Caption: Figure 9.

Total column density of water as a function of the column density of molecular hydrogen and hydrogen nuclei. (a) The red solid line is the best linear fit to the data. (b) The red solid line is the best linear fit to the data. Arrows show the features for which we only have a lower limit for N H.

Other Images in This Article

Show More

Copyright and Terms & Conditions