Image Details

Choose export citation format:

Water Absorption in Galactic Translucent Clouds: Conditions and History of the Gas Derived from Herschel/HIFI PRISMAS Observations

  • Authors: N. Flagey, P. F. Goldsmith, D. C. Lis, M. Gerin, D. Neufeld, P. Sonnentrucker, M. De Luca, B. Godard, J. R. Goicoechea, R. Monje, and T. G. Phillips

Flagey et al. 2013 The Astrophysical Journal 762 11.

  • Provider: AAS Journals

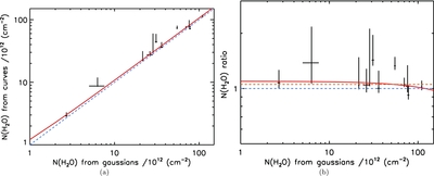
Caption: Figure 5.

Comparison between the total column density of H 2O inferred from the Gaussian profiles and from the column density curves. Each data point represents one absorption feature group. In each panel, the red solid line is the best linear fit to the data, the blue dashed line is a column density ratio equal to unity, and the orange dashed line is the average column density ratio.

Other Images in This Article

Show More

Copyright and Terms & Conditions