Image Details

Choose export citation format:

Resolving the Circumstellar Disk of HL Tauri at Millimeter Wavelengths

  • Authors: Woojin Kwon, Leslie W. Looney, and Lee G. Mundy

Kwon, Looney, & Mundy 2011 The Astrophysical Journal 741 3.

  • Provider: AAS Journals

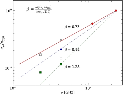
Caption: Figure 7.

Mass absorption coefficients (κ ν) to produce the measured fluxes at lower frequencies with our disk model. The slopes present dust opacity spectral indexes (β) determined between a frequency and ν = 230 GHz. The circles mark our results, the triangles are of Wilner et al. (1996), and the squares are of Rodmann et al. (2006). The open and filled symbols present the mass absorption coefficients when free–free emission components are included and excluded, respectively. Wilner et al. (1996) estimated 30% of their flux 10 ± 1.4 mJy at λ = 7 mm for free–free emission and Rodmann et al. (2006) argued 20% of their flux 4.92 mJy at λ = 7 mm and 50% of 1.63 mJy at λ = 1.3 cm for free–free emission.

Other Images in This Article
Copyright and Terms & Conditions