Image Details

Choose export citation format:

The Kinematics of Ionized Gas in Lyman-break Analogs at z ∼ 0.2

  • Authors: Thiago S. Gonçalves, Antara Basu-Zych, Roderik Overzier, D. Christopher Martin, David R. Law, David Schiminovich, Ted K. Wyder, Ryan Mallery, R. Michael Rich, and Timothy H. Heckman

GONÇALVES et al. 2010 The Astrophysical Journal 724 1373.

  • Provider: AAS Journals

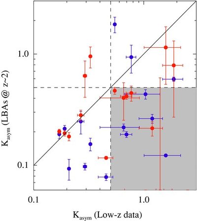
Caption: Figure 8.

Kinemetry measurements for our high-redshift simulations as a function of "intrinsic" values measured at low redshift. Dashed lines show the same threshold of K asym = 0.5. Red points represent OSIRIS-AO simulations, while blue points represent the SINFONI non-AO simulations. The gray shaded area indicates the region of the plot where one finds LBAs having high-asymmetry values at low redshift but low values at z ~ 2.2 (lower right quadrant). In the classification scheme of Shapiro et al. (2008), these objects would likely be classified as rotationally supported "disks."’

Other Images in This Article

Show More

Copyright and Terms & Conditions