Image Details

Choose export citation format:

Carbon Cycle Imbalances on Arid Terrestrial Planets with Implications for Venus

  • Authors: Haskelle T. White-Gianella, Joshua Krissansen-Totton

Haskelle T. White-Gianella and Joshua Krissansen-Totton 2026 The Planetary Science Journal 7 .

  • Provider: AAS Journals

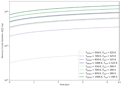
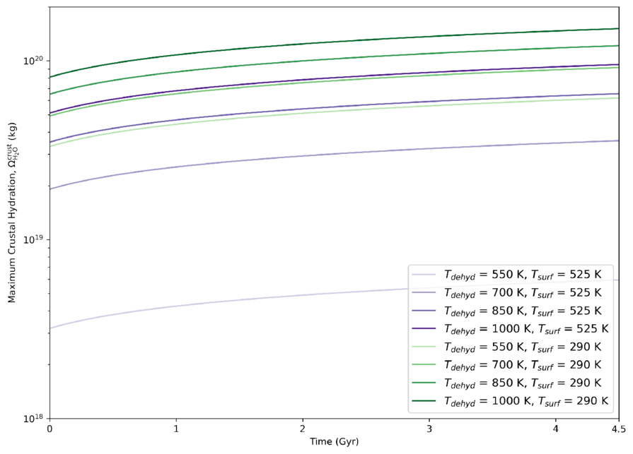
Caption: Figure A3.

Estimates of maximum crustal water inventory from back-of-envelope calculations. The maximum depth is calculated where the geothermal gradient intersects the dehydration temperature of serpentine, and where the lithostatic pressure intersects the dehydration pressure of serpentine (Equations (A1)–(A6)). Crustal hydration is limited to ∼0.1% of an Earth ocean (1018 kg), and ∼10% of an Earth ocean (1020 kg).

Other Images in This Article

Show More

Copyright and Terms & Conditions

Additional terms of reuse