Image Details

Choose export citation format:

Chemistry, Climate, and Transmission Spectra of TRAPPIST-1 e Explored with a Multimodel Sparse Sampled Ensemble

  • Authors: Eric T. Wolf, Edward W. Schwieterman, Jacob Haqq-Misra, Thomas J. Fauchez, Sandra T. Bastelberger, Michaela Leung, Sarah Peacock, Geronimo L. Villanueva, Ravi K. Kopparapu

Eric T. Wolf et al 2025 The Planetary Science Journal 6 .

  • Provider: AAS Journals

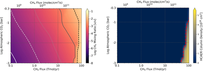
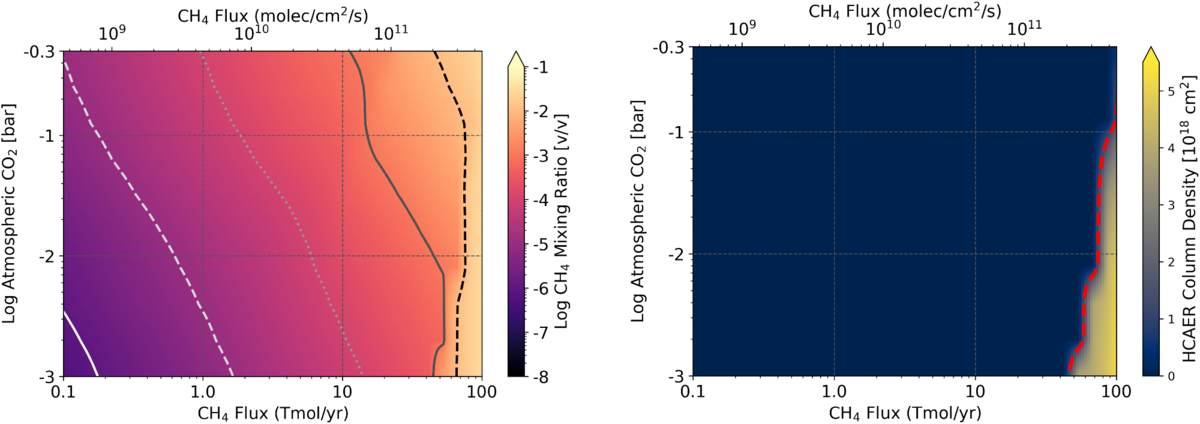
Caption: Figure 1.

Photochemical calculations for a TRAPPIST-1 e anoxic atmosphere for a wide variety of CO2 pressure logarithmically spaced between 10−3 (1000 ppmv) and 0.5 bars (50% v/v) and CH4 flux logarithmically spaced between 0.1 and 100 Tmol yr−1 (approximately between 4 × 109 molecules cm−2 s−1 and 5 × 1011 molecules cm−2 s−1). The left panel shows surface CH4 mixing ratios. The contour lines correspond to CH4 mixing ratios of 1, 10, 100, 1000, and 10,000 ppm (left to right). The right panel shows the column density of hydrocarbon haze particles in cm2. The dashed red line indicates the approximate τ = 1 extinction contour at 550 nm. Only at the highest CH4 does haze become significant. Calculations assume a 1-bar atmosphere with N2 as the filling gas and include the formation of fractal hydrocarbon hazes.

Other Images in This Article

Show More

Copyright and Terms & Conditions

Additional terms of reuse