Image Details

Choose export citation format:

Reconciling the Systemic Kicks of Observed Millisecond Pulsars, Spider Pulsars, and Low-mass X-Ray Binaries

  • Authors: Paul Disberg, Arash Bahramian, Ilya Mandel

Paul Disberg et al 2026 The Astrophysical Journal Letters 1000 .

  • Provider: AAS Journals

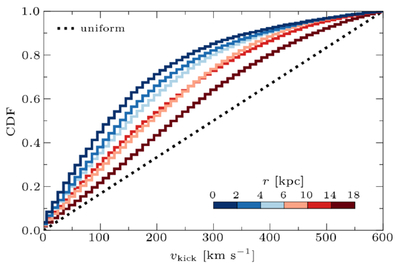
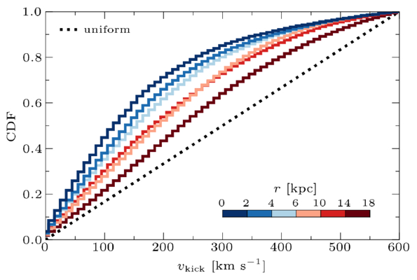
Caption: Figure B1.

Kick velocity distribution of simulated objects older than 40 Myr for several distance ranges (colors), similar to Figure 2 but through a simulation using birth locations as described in Appendix B. The dotted line shows a uniform distribution.

Other Images in This Article
Copyright and Terms & Conditions

Additional terms of reuse