Image Details

Choose export citation format:

Reconciling the Systemic Kicks of Observed Millisecond Pulsars, Spider Pulsars, and Low-mass X-Ray Binaries

  • Authors: Paul Disberg, Arash Bahramian, Ilya Mandel

Paul Disberg et al 2026 The Astrophysical Journal Letters 1000 .

  • Provider: AAS Journals

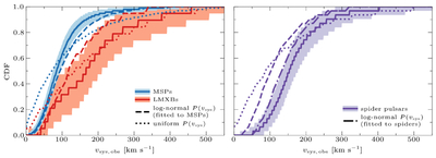
Caption: Figure 3.

Observed systemic kick distributions of T. N. O’Doherty et al. (2023) for MSPs (blue), LMXBs (red), and spider pulsars (purple). The solid lines show the median distributions, and the shaded regions correspond to the 90% confidence intervals. The dashed lines are determined through Equations (3) and (4) and a lognormal P(vsys) distribution fitted to the lower edge of the MSP confidence interval. The dashed–dotted line, in turn, uses a P(vsys) distribution fitted to the upper edge of the spider pulsars’ confidence interval. The dotted line shows the kinematic bias for a uniformly distributed P(vsys).

Other Images in This Article
Copyright and Terms & Conditions

Additional terms of reuse