Image Details

Choose export citation format:

The Radius of PSR J0437–4715 from NICER Data

  • Authors: M. C. Miller, A. J. Dittmann, I. M. Holt, F. K. Lamb, C. Chirenti, Z. Arzoumanian, J. Berteaud, S. Bogdanov, K. C. Gendreau, W. C. G. Ho, S. M. Morsink, P. S. Ray, R. A. Remillard, Z. Wadiasingh, M. T. Wolff

M. C. Miller et al 2026 The Astrophysical Journal Letters 1000 .

  • Provider: AAS Journals

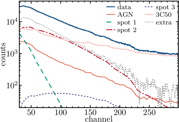
Caption: Figure 9.

The same as Figure 8 but for the best three-circle fit with no modulated power law. Note that the spots have exchanged roles, e.g., Spot 1 is now the lowest-temperature spot. The overall fit to the spectrum is as good as the fit with a model including a modulated power law, because of the flexibility that we assume in the extra unmodulated background. However, because of the lack of the modulated power-law component, the extra background has more counts.

Other Images in This Article

Show More

Copyright and Terms & Conditions

Additional terms of reuse