Image Details

Choose export citation format:

The Radius of PSR J0437–4715 from NICER Data

  • Authors: M. C. Miller, A. J. Dittmann, I. M. Holt, F. K. Lamb, C. Chirenti, Z. Arzoumanian, J. Berteaud, S. Bogdanov, K. C. Gendreau, W. C. G. Ho, S. M. Morsink, P. S. Ray, R. A. Remillard, Z. Wadiasingh, M. T. Wolff

M. C. Miller et al 2026 The Astrophysical Journal Letters 1000 .

  • Provider: AAS Journals

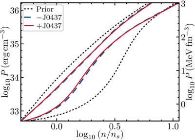
Caption: Figure 6.

Effect of our mass and radius measurement of PSR J0437−4715 on the EOS of high-density matter, using the Gaussian process framework described in Section 6.2. The black dotted lines show the prior on the EOS, the blue dashed lines show the EOS constraints without our analysis of the NICER data on PSR J0437−4715 (using the measurements discussed in Section 6.1), and the red solid lines show the EOS constraints including our analysis of the PSR J0437−4715 data. Here, we plot the log of the pressure (using different unit systems on the left-hand and on the right-hand axes) versus the log of the baryonic number density in units of the saturation density ns = 0.16 fm−3. For each line type, at a given density, the lower curve gives the 5th percentile of the pressure and the upper curve gives the 95th percentile of the pressure. We see that the inclusion of the PSR J0437−4715 measurement tightens the EOS slightly in the n ≈ (1 − 3)ns density range. These results do not include the updated mass of PSR J0952−0607 from R. W. Romani et al. (2026). See the main text for additional details.

Other Images in This Article

Show More

Copyright and Terms & Conditions

Additional terms of reuse