Image Details

Choose export citation format:

The Radius of PSR J0437–4715 from NICER Data

  • Authors: M. C. Miller, A. J. Dittmann, I. M. Holt, F. K. Lamb, C. Chirenti, Z. Arzoumanian, J. Berteaud, S. Bogdanov, K. C. Gendreau, W. C. G. Ho, S. M. Morsink, P. S. Ray, R. A. Remillard, Z. Wadiasingh, M. T. Wolff

M. C. Miller et al 2026 The Astrophysical Journal Letters 1000 .

  • Provider: AAS Journals

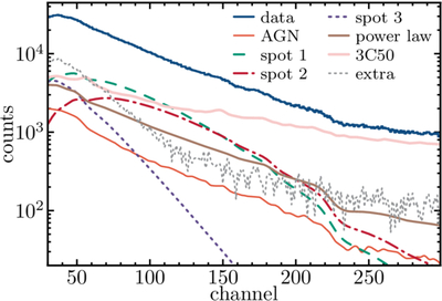
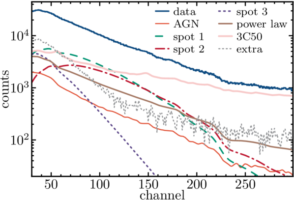
Caption: Figure 8.

Contribution of each fit component to the phase-summed count spectrum, as a function of NICER PI channel, using our best fit to the data of our model with three uniform-temperature circular spots plus a modulated power law, i.e., our Model 5. The solid blue line shows the data, the fainter solid red line shows the contribution from the empirical NICER background of R. A. Remillard et al. (2022), the brighter solid red line shows the contribution from the angularly nearby AGN, the dashed green line shows the contribution from the first spot, the dotted–dashed red line shows the contribution from the second spot, the bold dotted black line shows the contribution from the third spot, the solid brown line shows the contribution from the modulated power law, and finally the light dotted line shows the remaining contribution, from the extra unmodulated background. Note that the counts axis is logarithmic. This plot demonstrates that multiple components have importance in different channel ranges: the extra (unidentified) unmodulated background is most prominent below channel ∼60, the spots have their greatest relative importance at channels ∼60–120, and although the 3C50 background is the most important single component above channel ∼120, the remaining components all contribute (except for the low-temperature Spot 3). In particular, we see that the power law is the most important of the modulated components above channel ∼200. The apparent erratic nature of the extra component is due to Poisson fluctuations in the data, which are enhanced when other components are subtracted.

Other Images in This Article

Show More

Copyright and Terms & Conditions

Additional terms of reuse