Image Details

Choose export citation format:

Probing the Origin of the Kilonova Candidate GRB 230307A: Analysis of Host Galaxy and Offset

  • Authors: Clecio R. Bom, Davi C. Rodrigues, Arianna Cortesi, Amanda E. Araujo-Carvalho, Daniel Ruschel-Dutra, Giuliano Iorio, Luidhy Santana-Silva, Charles D. Kilpatrick, Fabricio Ferrari, Luis Lomelí-Núñez, Thomas Harvey, Duncan Austin, Christopher J. Conselice, Nathan Adams, Roberto Cid Fernandes

Clecio R. Bom et al 2026 The Astrophysical Journal Letters 1001 .

  • Provider: AAS Journals

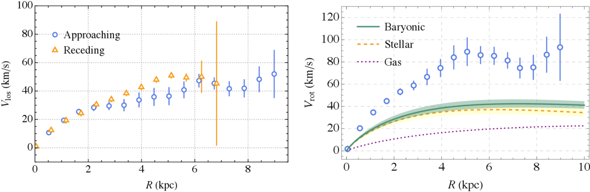
Caption: Figure B1.

Left: the line-of-sight velocity for the approaching and receding sides with R = 0 as the kinematical center. Right: the inclination-corrected mean rotation curve (blue circles with error bars). The plot also contains the stellar contribution to the circular velocity (dashed orange line, with mass uncertainty indicated in the yellow band), the estimated gas (H I and He) contribution (dotted purple curve), and the total baryonic contribution to the rotation curve (solid green curve) with uncertainty.

Other Images in This Article

Show More

Copyright and Terms & Conditions

Additional terms of reuse