Image Details

Choose export citation format:

Brown Dwarf Formation through Gravitational Collapse: Insights from 3D Numerical Simulations

  • Authors: Adnan Ali Ahmad, Benoît Commerçon, Gilles Chabrier, Antonin Borderies

Adnan Ali Ahmad et al 2025 The Astrophysical Journal Letters 991 .

  • Provider: AAS Journals

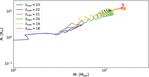
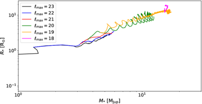
Caption: Figure 6.

BD radius as a function of mass for run R1 at different maximum refinement level. The lower-resolution runs are restarts at different snapshots of their higher-resolution counterparts.

Other Images in This Article
Copyright and Terms & Conditions

Additional terms of reuse