Image Details

Choose export citation format:

High Optical-to-X-Ray Polarization Ratio Reveals Compton Scattering in BL Lacertae’s Jet

  • Authors: Iván Agudo, Ioannis Liodakis, Jorge Otero-Santos, Riccardo Middei, Alan Marscher, Svetlana Jorstad, Haocheng Zhang, Hui Li, Laura Di Gesu, Roger W. Romani, Dawoon E. Kim, Francesco Fenu, Herman L. Marshall, Luigi Pacciani, Juan Escudero Pedrosa, Francisco José Aceituno, Beatriz Agís-González, Giacomo Bonnoli, Víctor Casanova, Daniel Morcuende, Vilppu Piirola, Alfredo Sota, Pouya M. Kouch, Elina Lindfors, Callum McCall, Helen E. Jermak, Iain A. Steele, George A. Borman, Tatiana S. Grishina, Vladimir A. Hagen-Thorn, Evgenia N. Kopatskaya, Elena G. Larionova, Daria A. Morozova, Sergey S. Savchenko, Ekaterina V. Shishkina, Ivan S. Troitskiy, Yulia V. Troitskaya, Andrey A. Vasilyev, Alexey V. Zhovtan, Ioannis Myserlis, Mark Gurwell, Garrett Keating, Ramprasad Rao, Sincheol Kang, Sang-Sung Lee, Sanghyun Kim, Whee Yeon Cheong, Hyeon-Woo Jeong, Emmanouil Angelakis, Alexander Kraus, Dmitry Blinov, Siddharth Maharana, Rumen Bachev, Jenni Jormanainen, Kari Nilsson, Vandad Fallah Ramazani, Carolina Casadio, Antonio Fuentes, Efthalia Traianou, Clemens Thum, José L. Gómez, Lucio Angelo Antonelli, Matteo Bachetti, Luca Baldini, Wayne H. Baumgartner, Ronaldo Bellazzini, Stefano Bianchi, Stephen D. Bongiorno, Raffaella Bonino, Alessandro Brez, Niccolò Bucciantini, Fiamma Capitanio, Simone Castellano, Elisabetta Cavazzuti, Chien-Ting Chen, Stefano Ciprini, Enrico Costa, Alessandra De Rosa, Ettore Del Monte, Niccolò Di Lalla, Alessandro Di Marco, Immacolata Donnarumma, Victor Doroshenko, Michal Dovčiak, Steven R. Ehlert, Teruaki Enoto, Yuri Evangelista, Sergio Fabiani, Riccardo Ferrazzoli, Javier A. García, Shuichi Gunji, Kiyoshi Hayashida, Jeremy Heyl, Wataru Iwakiri, Philip Kaaret, Vladimir Karas, Fabian Kislat, Takao Kitaguchi, Jeffery J. Kolodziejczak, Henric Krawczynski, Fabio La Monaca, Luca Latronico, Simone Maldera, Alberto Manfreda, Frédéric Marin, Andrea Marinucci, Francesco Massaro, Giorgio Matt, Ikuyuki Mitsuishi, Tsunefumi Mizuno, Fabio Muleri, Michela Negro, Chi-Yung Ng, Stephen L. O'Dell, Nicola Omodei, Chiara Oppedisano, Alessandro Papitto, George G. Pavlov, Abel L. Peirson, Matteo Perri, Melissa Pesce-Rollins, Pierre-Olivier Petrucci, Maura Pilia, Andrea Possenti, Juri Poutanen, Simonetta Puccetti, Brian D. Ramsey, John Rankin, Ajay Ratheesh, Oliver J. Roberts, Carmelo Sgrò, Patrick Slane, Paolo Soffitta, Gloria Spandre, Douglas A. Swartz, Toru Tamagawa, Fabrizio Tavecchio, Roberto Taverna, Yuzuru Tawara, Allyn F. Tennant, Nicholas E. Thomas, Francesco Tombesi, Alessio Trois, Sergey S. Tsygankov, Roberto Turolla, Jacco Vink, Martin C. Weisskopf, Kinwah Wu, Fei Xie, Silvia Zane

Iván Agudo et al 2025 The Astrophysical Journal Letters 985 .

  • Provider: AAS Journals

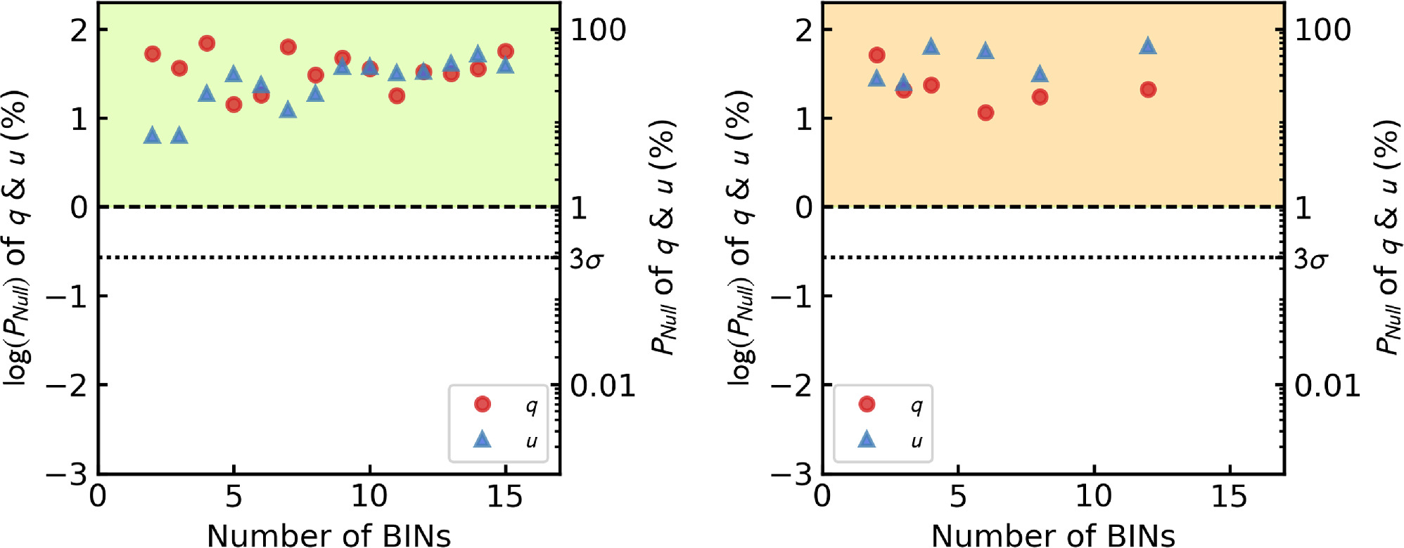
Caption: Figure 6.

Null hypothesis probability of a constant model of the q (red) and u (blue) Stokes parameters for different time (left panel) and energy (right panel) bins. The green and orange shaded areas indicate that the null hypothesis probability is above the 1% threshold level. The black dashed and dotted lines located in the middle of each panel represent 1% and 3σ (0.27%) probability, respectively. The left and right vertical axes of each panel correspond to the probability values in logarithmic and linear scales in percentage, respectively.

Other Images in This Article
Copyright and Terms & Conditions

Additional terms of reuse