Image Details

Choose export citation format:

Detecting Population III Stars through Tidal Disruption Events in the Era of JWST and Roman

  • Authors: Rudrani Kar Chowdhury, Janet N. Y. Chang, Lixin Dai, Priyamvada Natarajan

Rudrani Kar Chowdhury et al 2024 The Astrophysical Journal Letters 966 .

  • Provider: AAS Journals

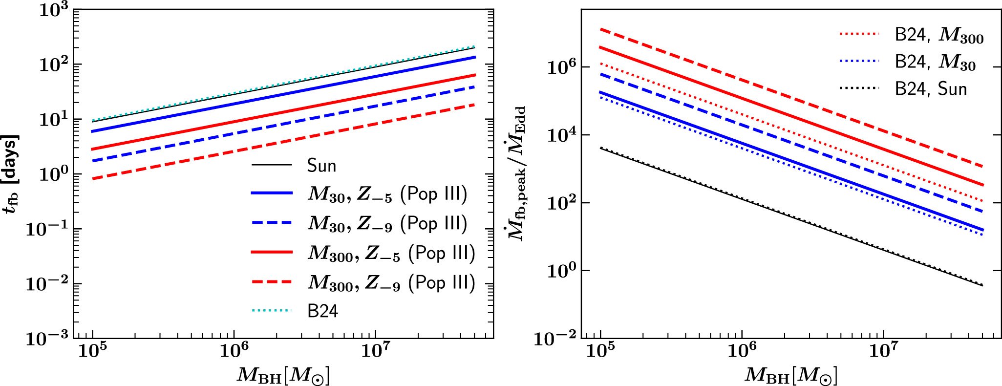
Caption: Figure A2.

The fallback time t fb and peak debris mass fallback rate ﹩{\dot{M}}_{\mathrm{fb},\mathrm{peak}}﹩ as functions of the MBH mass using both the GR13 model and the B24 model. The solid and dashed lines are the same as Figure 3 (based on the GR13 model). The cyan dotted line in the left panel represents the fallback time using the B24 model. The black, blue, and red dotted lines in the right panel correspond to ﹩{\dot{M}}_{\mathrm{fb},\mathrm{peak}}﹩ in the TDEs of a solar-type Pop I star, a 30M Pop III star, and a 300M Pop III star, respectively, using the B24 model.

Other Images in This Article

Show More

Copyright and Terms & Conditions

Additional terms of reuse