Image Details

Choose export citation format:

Angular Momentum Transport in the Convection Zone of a 3D MHD Simulation of a Rapidly Rotating Core-collapse Progenitor

  • Authors: Ryota Shimada, Lucy O. McNeill, Vishnu Varma, Keiichi Maeda, Takaaki Yokoyama, Bernhard Müller

Ryota Shimada et al 2026 The Astrophysical Journal 1002 .

  • Provider: AAS Journals

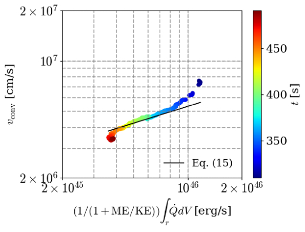
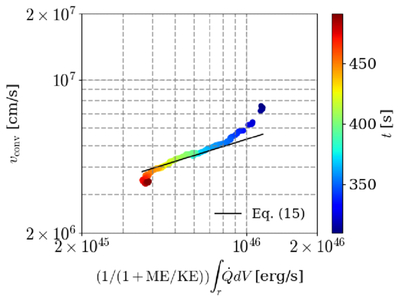
Caption: Figure 4.

Comparison of our predicted convective energy flux based on the energy partition between convective and Poynting fluxes (Equation (15)) with simulation data. The convective velocity vconv in the O shell is shown on the vertical axis against the right-hand side of Equation (15) on a log-log scale. The color of each point indicates the corresponding time in the simulation during the quasi-steady-state phase (t = 300–480 s). The black line represents a power law with an index of 1/3.

Other Images in This Article
Copyright and Terms & Conditions

Additional terms of reuse