Image Details

Choose export citation format:

Angular Momentum Transport in the Convection Zone of a 3D MHD Simulation of a Rapidly Rotating Core-collapse Progenitor

  • Authors: Ryota Shimada, Lucy O. McNeill, Vishnu Varma, Keiichi Maeda, Takaaki Yokoyama, Bernhard Müller

Ryota Shimada et al 2026 The Astrophysical Journal 1002 .

  • Provider: AAS Journals

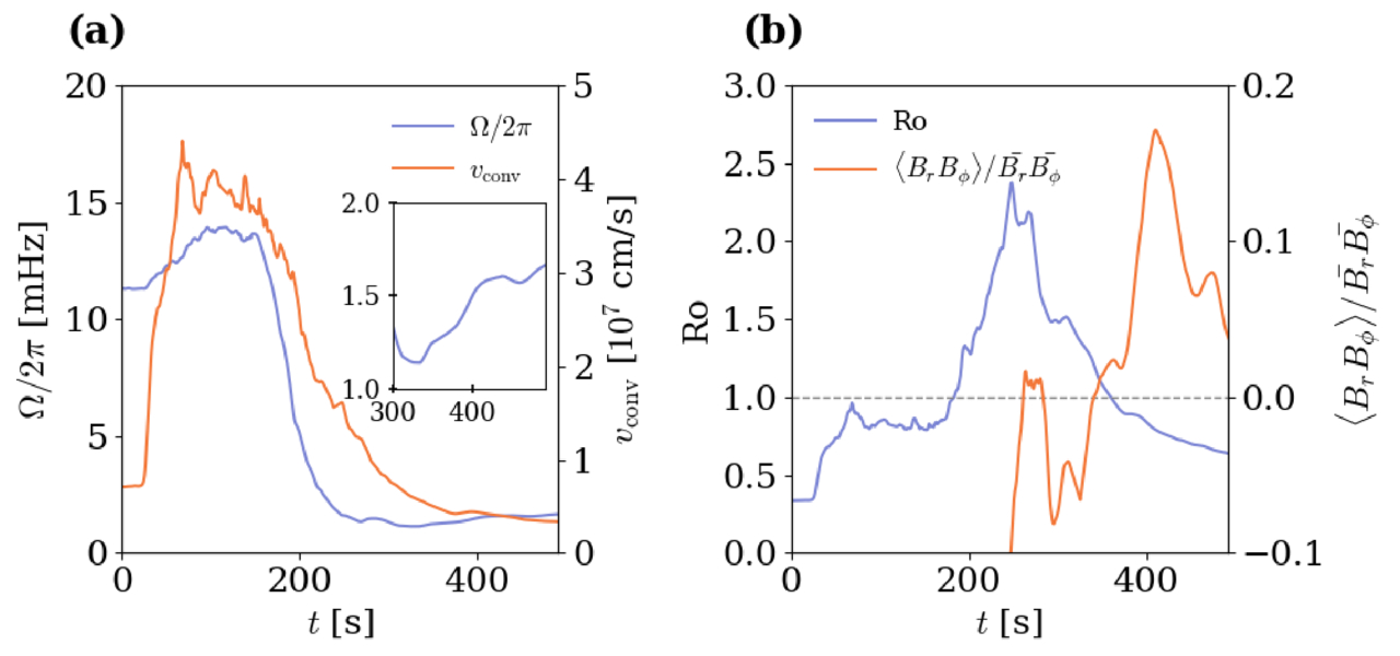
Caption: Figure 1.

(a) Temporal evolution of the Favre-averaged rotation rate Ω/2π (blue solid line) and convective velocity vconv (orange solid line) in the O shell. The vertical axes for the rotation rate and convective velocity are displayed on the left and right sides, respectively. An inset view on the right side highlights the evolution of the rotation rate Ω/2π during the quasi-steady phase after 300 s, where the system maintains a statistically steady convective dynamo. (b) Temporal evolution of the Rossby number Ro (blue solid line) and the correlation of Maxwell stress (orange solid line) in the O shell. The vertical axes for the Rossby number and the correlation of Maxwell stress are displayed on the left and right sides, respectively.

Other Images in This Article
Copyright and Terms & Conditions

Additional terms of reuse