Image Details

Choose export citation format:

MAGAZ3NE: Far-IR and Radio Insights into the Nature and Properties of Ultramassive Galaxies at z ≳ 3

  • Authors: Wenjun Chang, Gillian Wilson, Ben Forrest, Ian McConachie, Tracy Webb, Allison Noble, Adam Muzzin, M. C. Cooper, Danilo Marchesini, Gabriela Canalizo, A. J. Battisti, Aurelien Henry, Percy Gomez, Stephanie M. Urbano Stawinski, M.E. Wisz

Wenjun Chang et al 2026 The Astrophysical Journal 1001 .

  • Provider: AAS Journals

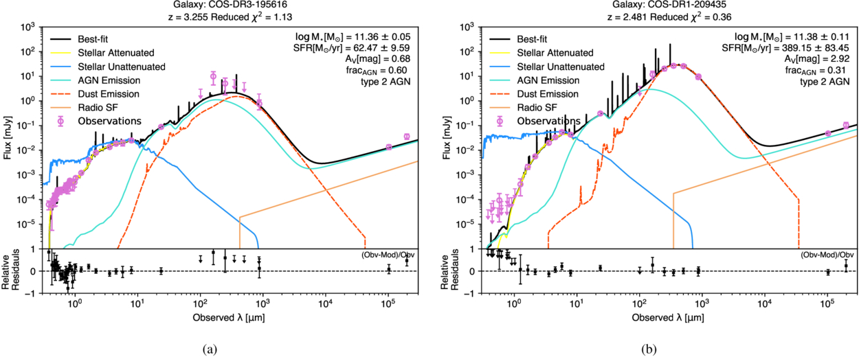
Caption: Figure 3.

Best-fit SED (black) and residuals for COS-DR3-195616 (left panel) and COS-DR1-209435 (right panel), estimated by CIGALE from the UV-to-radio catalogs. Also shown is the unattenuated stellar (blue), dust (red), AGN (cyan), and radio synchrotron nonthermal (orange) emission. Observations are shown by purple circles, with downward arrows indicating upper limits. Estimates of physical properties are shown in the last column of Tables 2 and 3. There appears to be a significant AGN contribution in the case of both UMGs (see Section 5.1).

Other Images in This Article
Copyright and Terms & Conditions

Additional terms of reuse