Image Details

Choose export citation format:

Supermassive Black Hole Imaging with a Self-consistent Electron-temperature Prescription

  • Authors: Alejandro Cruz-Osorio, Claudio Meringolo, Christian M. Fromm, Yosuke Mizuno, Sergio Servidio, Antonios Nathanail, Ziri Younsi, Luciano Rezzolla

Alejandro Cruz-Osorio et al 2026 The Astrophysical Journal 1001 .

  • Provider: AAS Journals

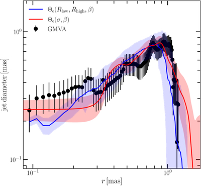
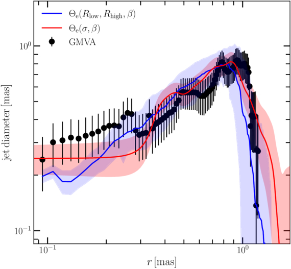
Caption: Figure 4.

Jet-diameter comparison between observations and theoretical models. We report with solid lines the jet width measurements from the convolved GRRT images covering a period of 2000 M, red line for the self-consistent Θe = Θe(σβ), and blue line for the phenomenological Θe = Θe(RlowRhighβ). We also show as shaded regions the variations within the standard deviation and with black circles the jet width as computed from the GMVA observation and the corresponding uncertainties. The uncertainties are obtained by assuming an uncertainty of 1/4 of the beam size at the r = 0 and a linear increase until 1/2 of the beam size is reached at r = 2 mas.

Other Images in This Article
Copyright and Terms & Conditions

Additional terms of reuse