Image Details

Choose export citation format:

X-Ray Spectroscopy via Temporal Decomposition

  • Authors: William Setterberg, Lindsay Glesener

William Setterberg and Lindsay Glesener 2026 The Astrophysical Journal 1000 .

  • Provider: AAS Journals

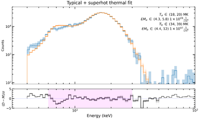
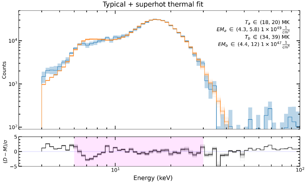
Caption: Figure 7.

We fit two isothermal bremsstrahlung emission functions to the time-decomposed Flare F2 thermal spectrum. The data is shown in blue, and the summed temperature model in orange. Parameters for each model are annotated.

Other Images in This Article

Show More

Copyright and Terms & Conditions

Additional terms of reuse