Image Details

Choose export citation format:

The Importance of Heat Flux in Low-Mach-number, Quasi-parallel Collisionless Shocks

  • Authors: Colby C. Haggerty, Damiano Caprioli, Paul A. Cassak, M. Hasan Barbhuiya, Lynn Wilson, Drew L. Turner

Colby C. Haggerty et al 2026 The Astrophysical Journal 998 .

  • Provider: AAS Journals

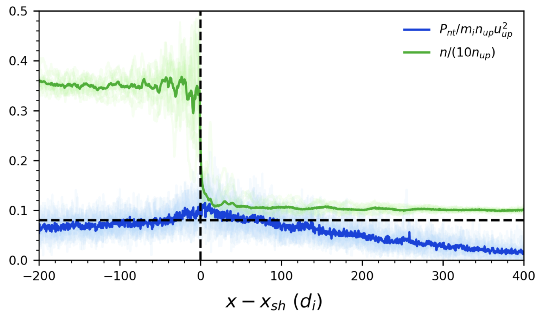
Caption: Figure 4.

The nonthermal pressure and the total ion number density (divided by 10). One-dimensional cuts are normal to the shock and centered around the shock front, and are time-averaged as discussed in Figure 4.

Other Images in This Article
Copyright and Terms & Conditions

Additional terms of reuse