Image Details

Choose export citation format:

Semianalytical Accretion-tracer Emission: Forming Planets Are Intrinsically Faint

  • Authors: Gabriel-Dominique Marleau

Gabriel-Dominique Marleau 2026 The Astrophysical Journal 1000 .

  • Provider: AAS Journals

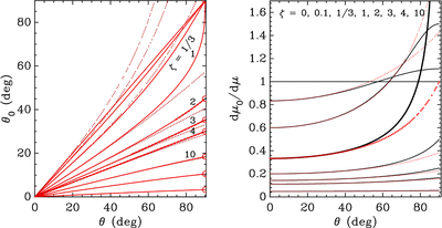
Caption: Figure 11.

Left panel: approximate starting angle (dotted red) compared to the exact solution (solid red) for different ζ values. The circles on the right show Equation (A5). Right panel: the quantity 0/ for ζ = 0, 0.1, 1/3, 2, 3, 4, 10 (top to bottom at the left y-axis). The approximation (red dotted curve; Equation (13b)) matches well, even toward large θ. Only the ζ = 1 curve (bold) diverges toward the midplane, as it should (see the left panel).

Other Images in This Article

Show More

Copyright and Terms & Conditions

Additional terms of reuse