Image Details

Choose export citation format:

Semianalytical Accretion-tracer Emission: Forming Planets Are Intrinsically Faint

  • Authors: Gabriel-Dominique Marleau

Gabriel-Dominique Marleau 2026 The Astrophysical Journal 1000 .

  • Provider: AAS Journals

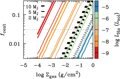
Caption: Figure 8.

Total Hα luminosity (line color) from the shocks on the planet and CPD surfaces as a function of the local (gap-reduced) gas surface density Σ (see the text for discussion of meaning) and the size of centrifugal radius relative to the Hill radius fcent. A thin dashed line highlights our fiducial value fcent = 0.03. The radius is fixed to Rp = 2.1RJ, but the mass is Mp = 2, 5, 10 MJ (thin to thick lines). The black dashed lines are for LHα = (6.5 ± 0.9) × 10−7 L for PDS 70 b at one epoch (Y. Zhou et al. 2021) for each mass.

Other Images in This Article

Show More

Copyright and Terms & Conditions

Additional terms of reuse