Image Details

Choose export citation format:

Probing Evolution of Long GRB Properties through their Cosmic Formation History Aided by Machine Learning–predicted Redshifts

  • Authors: Dhruv S. Bal, Aditya Narendra, Maria Giovanna Dainotti, Nikita S. Khatiya, Aleksander Ł. Lenart, Dieter H. Hartmann

Dhruv S. Bal et al 2025 The Astrophysical Journal 994 .

  • Provider: AAS Journals

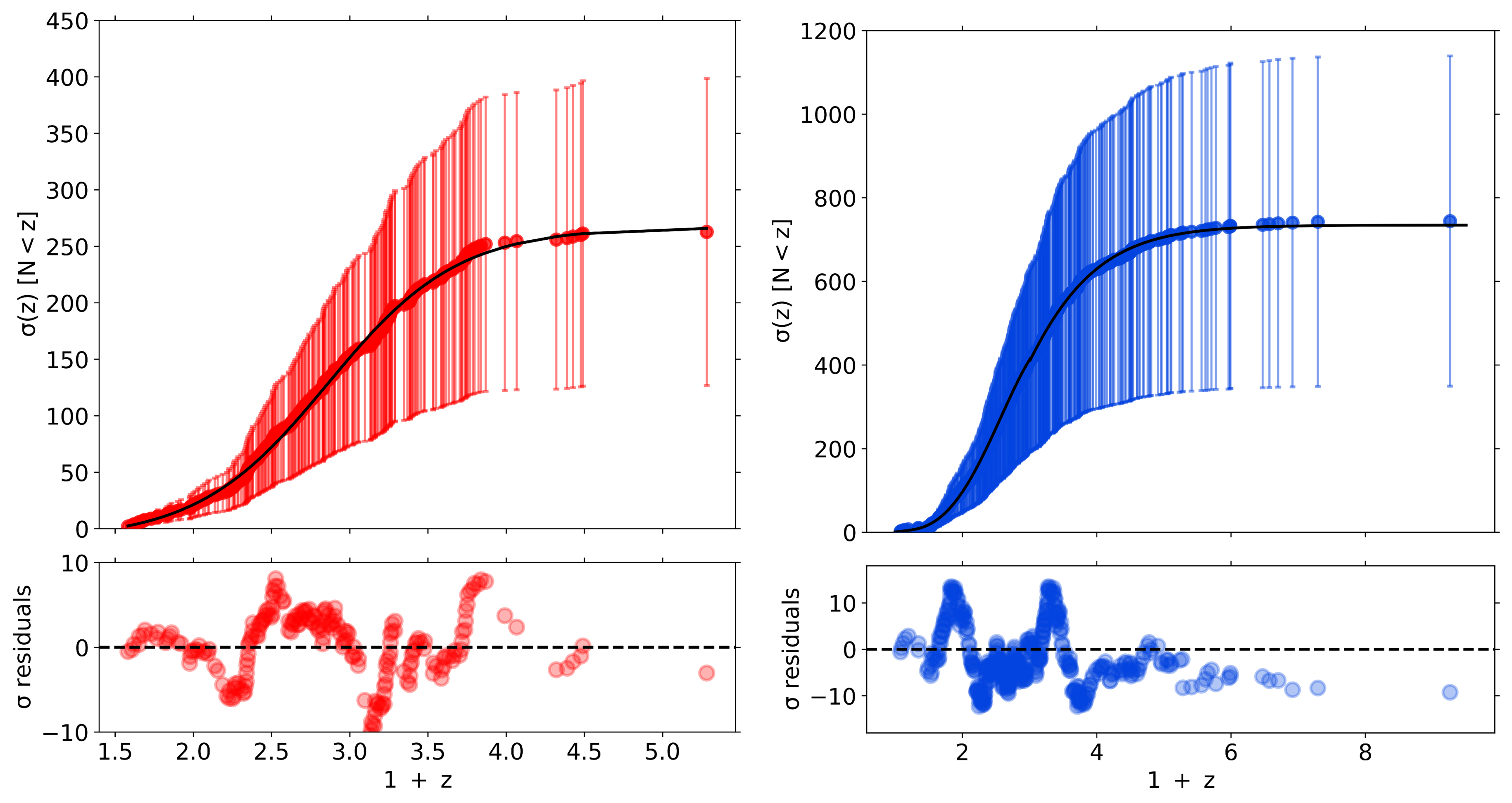
Caption: Figure 2.

Left panel: the fit to σ of the PS with the best parameters derived from the sigmoid function. The best-fit parameters to this function are noted in the first row of Table 1. Right panel: the fit to σ of the CS with the best parameters derived from a piecewise function. The data points below zcut = 3.01 are best fit with a fourth-order polynomial, while the data points above zcut are best fit with a sigmoid. The best-fit parameters to these functions are noted in the second and third rows of Table 1.

Other Images in This Article
Copyright and Terms & Conditions

Additional terms of reuse