Image Details

Choose export citation format:

Probing Evolution of Long GRB Properties through their Cosmic Formation History Aided by Machine Learning–predicted Redshifts

  • Authors: Dhruv S. Bal, Aditya Narendra, Maria Giovanna Dainotti, Nikita S. Khatiya, Aleksander Ł. Lenart, Dieter H. Hartmann

Dhruv S. Bal et al 2025 The Astrophysical Journal 994 .

  • Provider: AAS Journals

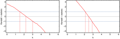
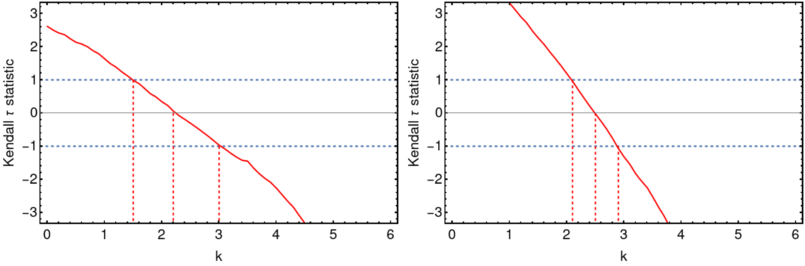
Caption: Figure 1.

Left: the τk distribution for the PS. We select the k value corresponding to τ = 0 for making the luminosity and 1 + z independent of each other. Right: the τk distribution for the CS. We select the k value corresponding to τ = 0 to make the luminosity and 1 + z independent of each other.

Other Images in This Article
Copyright and Terms & Conditions

Additional terms of reuse