Image Details

Choose export citation format:

The A Supergiant Eclipsing Binary BM Cas: An Evolved, Intermediate Mass System

  • Authors: T. J. Davidge

T. J. Davidge 2026 The Astronomical Journal 171 .

  • Provider: AAS Journals

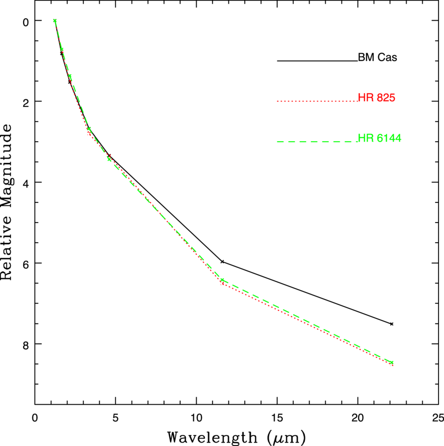
Caption: Figure 2.

SEDs of BM Cas (black solid line), HR 825 (red dotted line), and HR 6144 (green dashed line). Instrumental magnitudes along the y-axis have been normalized at 1.2 μm (i.e., in J). While the SEDs are in excellent agreement in the 1–2.5 μm interval, there is a ∼1 mag excess signal in the BM Cas SED near 22 μm. As discussed in the text, this difference is larger than the expected uncertainties that are due to photometric variations in the light curve, the photometric measurements themselves, and reddening.

Other Images in This Article

Show More

Copyright and Terms & Conditions

Additional terms of reuse