Image Details

Choose export citation format:

Assessing the Vera Rubin Observatory’s Ability to Discover Asteroid Impactors before They Collide with Earth

  • Authors: Qifeng Cheng, Daniel Scolnic, Jacob A. Kurlander, Ian Chow, Maryann Benny Fernandes

Qifeng Cheng et al 2026 The Astronomical Journal 171 .

  • Provider: AAS Journals

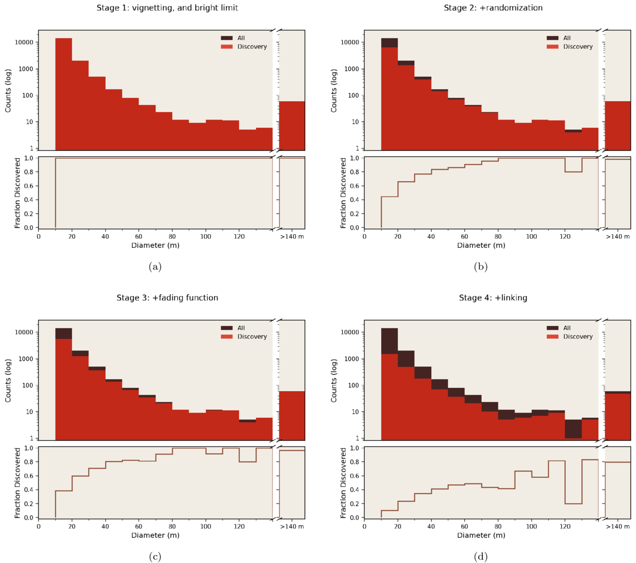
Caption: Figure 9.

Successive application of Sorcha’s survey-simulation filters and their impact on LSST impactor discovery. Each panel shows the differential size distribution (top) and the discovered-to-total ratio (bottom) as a function of the impactor diameter. (a) Stage 1 includes only single-exposure photometric modeling (trailed magnitude, vignetting, bright limit), isolating per-visit detectability. (b) Stage 2 adds photometric randomization, introducing realistic pointing history and sky coverage. (c) Stage 3 enables the source-detection efficiency (“fading”) function, which probabilistically removes marginal detections near the limiting magnitude. (d) Stage 4 activates the linking filter, requiring detections to form valid tracklets and tracks to be classified as discoveries. Together, the panels show how progressively enabling Sorcha filters transforms single-visit detectability into end-to-end survey discovery efficiency.

Other Images in This Article
Copyright and Terms & Conditions

Additional terms of reuse