Image Details

Choose export citation format:

Coincidence between Rotational Modulations of Coronal and Photospheric Activities on the Saturated Star AB Dor

  • Authors: Fu-Kun Xu, Shenghong Gu

Fu-Kun Xu and Shenghong Gu 2026 The Astronomical Journal 171 .

  • Provider: AAS Journals

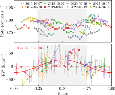
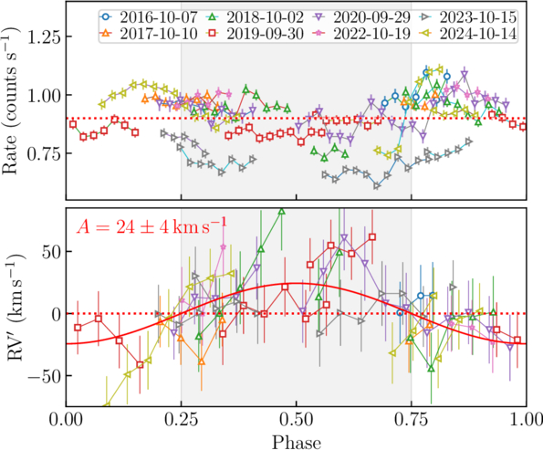
Caption: Figure 4.

Phase-folded rates and ﹩{\rm{RV}}^{\prime} ﹩s of the “background”. The ﹩{\rm{RV}}^{\prime} ﹩s are fitted by a sine curve (red line) with the amplitude A, using SCIPY.OPTIMIZE.CURVE_FIT.

Other Images in This Article
Copyright and Terms & Conditions

Additional terms of reuse