Image Details

Choose export citation format:

Stellar Birth Radii in the LMC: Insights into Chemodynamics, Radial Migration, and Star Formation across the Disk

  • Authors: Yuxi(Lucy) Lu, Bethany Garver, David L. Nidever, Joshua T. Povick, Nicolás Garavito-Camargo, Maria-Rosa L. Cioni, Danny Horta

Yuxi(Lucy) Lu et al 2026 The Astronomical Journal 171 .

  • Provider: AAS Journals

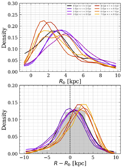
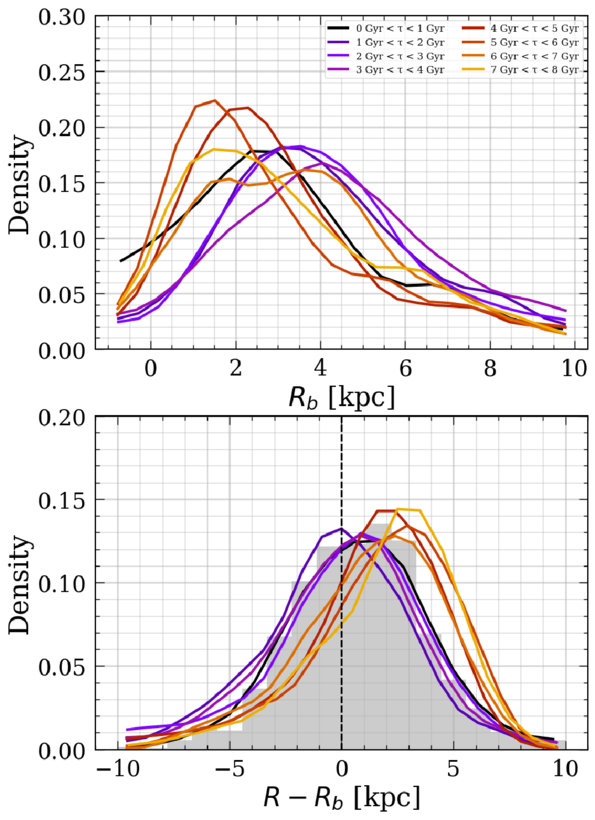
Caption: Figure 6.

Normalized histograms showing the distribution of birth radii (top) and the amount of migration (bottom) for stars of different ages (as indicated in the legend). For each histogram, we selected the number of bins to be the integer part of ﹩\sqrt{N}/2﹩, where N is the number of stars in each age bin. We then plotted the smoothed histograms using a 1D Gaussian kernel with a width of 1 kpc for better visualization. The gray histogram in the bottom panel shows the unsmoothed distribution for stars younger than 1 Gyr. We expect the migration distribution of these youngest stars to peak near 0 kpc with a characteristic width of <2 kpc, reflecting their limited movement since birth.

Other Images in This Article
Copyright and Terms & Conditions

Additional terms of reuse