Image Details

Choose export citation format:

The James Webb Space Telescope NIRSpec-PRISM Transmission Spectrum of the Super-puff, Kepler-51d

  • Authors: Jessica E. Libby-Roberts, Aaron Bello-Arufe, Zachory K. Berta-Thompson, Caleb I. Cañas, Yayaati Chachan, Renyu Hu, Yui Kawashima, Catriona Murray, Kazumasa Ohno, Armen Tokadjian, Suvrath Mahadevan, Kento Masuda, Leslie Hebb, Caroline Morley, Guangwei Fu, Peter Gao, Kevin B. Stevenson

Jessica E. Libby-Roberts et al 2026 The Astronomical Journal 171 .

  • Provider: AAS Journals

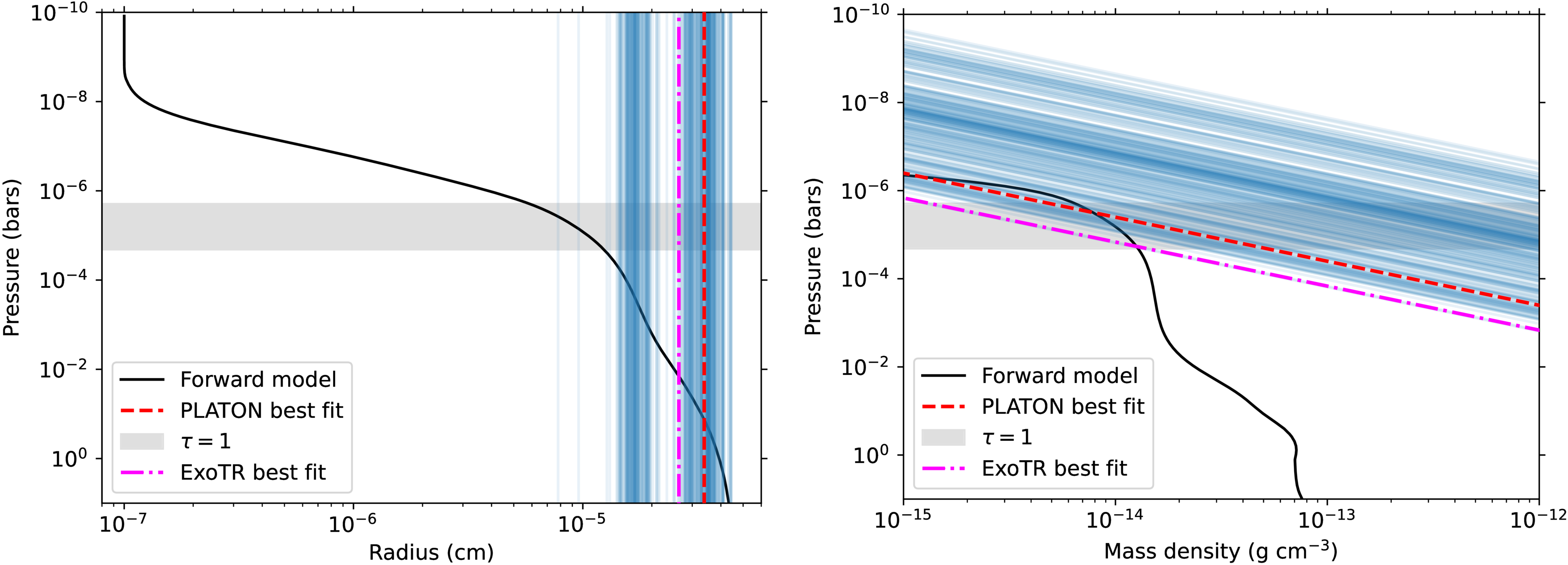
Caption: Figure 9.

The volume-averaged particle size and total mass density from the forward models compared to the corresponding values from retrieved models from PLATON and ExoTR with wavelength-independent k. The modeled and retrieved estimates agree well in the ∼1–10 μbar region, where the retrieved transit photosphere is located.

Other Images in This Article

Show More

Copyright and Terms & Conditions

Additional terms of reuse