Image Details

Choose export citation format:

The James Webb Space Telescope NIRSpec-PRISM Transmission Spectrum of the Super-puff, Kepler-51d

  • Authors: Jessica E. Libby-Roberts, Aaron Bello-Arufe, Zachory K. Berta-Thompson, Caleb I. Cañas, Yayaati Chachan, Renyu Hu, Yui Kawashima, Catriona Murray, Kazumasa Ohno, Armen Tokadjian, Suvrath Mahadevan, Kento Masuda, Leslie Hebb, Caroline Morley, Guangwei Fu, Peter Gao, Kevin B. Stevenson

Jessica E. Libby-Roberts et al 2026 The Astronomical Journal 171 .

  • Provider: AAS Journals

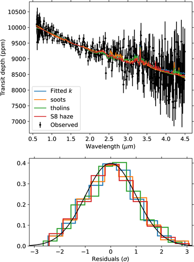
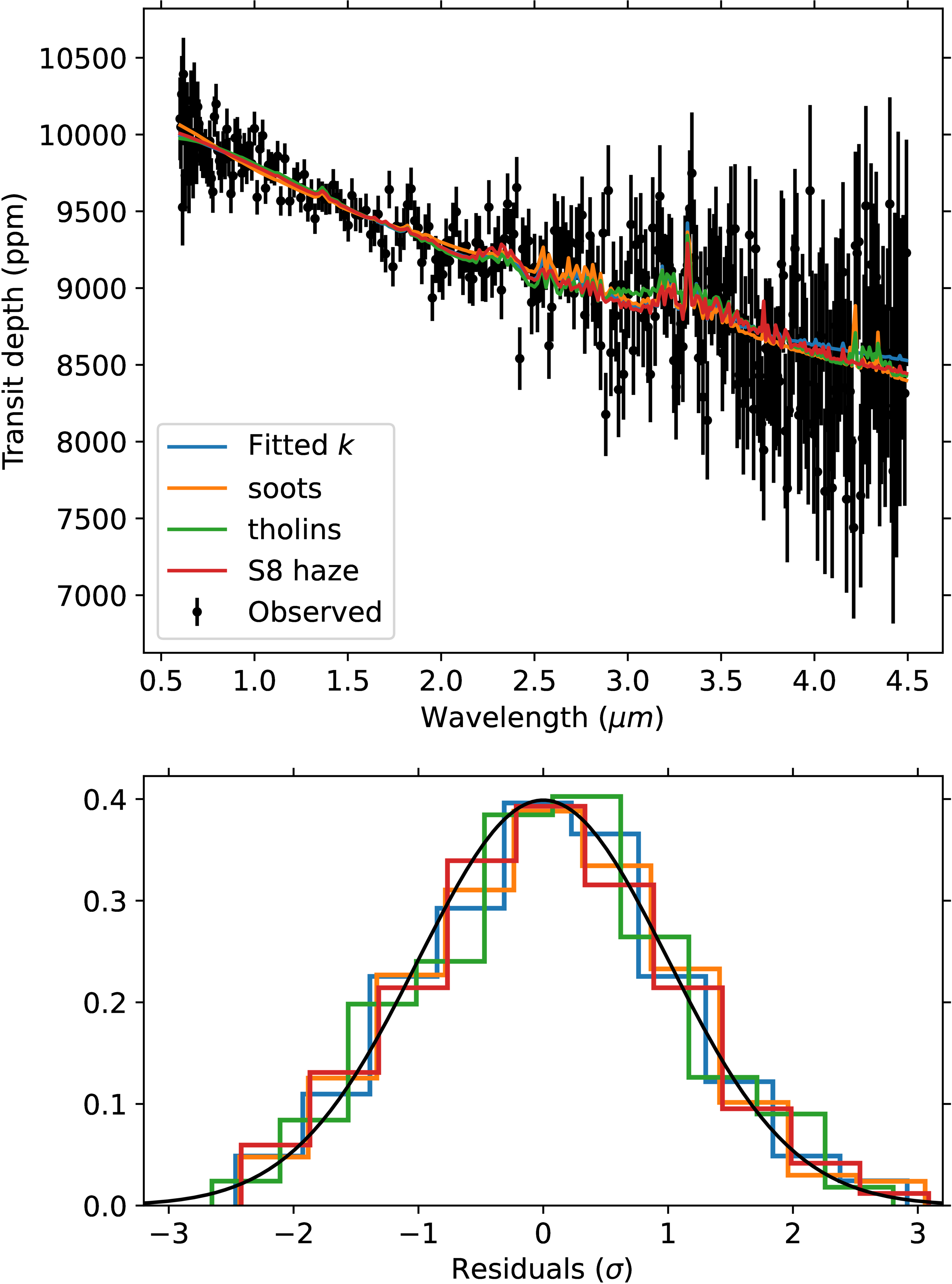
Caption: Figure 5.

The best-fit models for the transmission spectrum of Kepler-51 d. The fiducial retrieval fits a wavelength-independent imaginary refractive index k, and the other retrievals assume refractive indices for a specific haze. The bottom panel shows the residuals for each best-fit model.

Other Images in This Article

Show More

Copyright and Terms & Conditions

Additional terms of reuse