Image Details

Choose export citation format:

The James Webb Space Telescope NIRSpec-PRISM Transmission Spectrum of the Super-puff, Kepler-51d

  • Authors: Jessica E. Libby-Roberts, Aaron Bello-Arufe, Zachory K. Berta-Thompson, Caleb I. Cañas, Yayaati Chachan, Renyu Hu, Yui Kawashima, Catriona Murray, Kazumasa Ohno, Armen Tokadjian, Suvrath Mahadevan, Kento Masuda, Leslie Hebb, Caroline Morley, Guangwei Fu, Peter Gao, Kevin B. Stevenson

Jessica E. Libby-Roberts et al 2026 The Astronomical Journal 171 .

  • Provider: AAS Journals

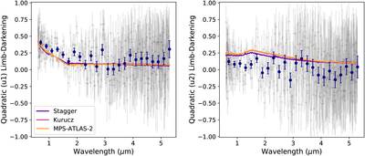
Caption: Figure 2.

The best-fit quadratic limb-darkening parameters (not following the reparameterization detailed in D. M. Kipping 2013) for the individual channels (black) and binned to 0.2 μm for clarity (blue). The expected limb-darkening parameters based on Z. Magic et al. (2015; purple), R.-L. Kurucz (1993; red), and N. Kostogryz et al. (2023; orange) models are also shown. While the overall shape of the best-fit limb-darkening parameters is in agreement for the bluer <4.5 μm, within the error bars, there is an offset and significant scatter in some of the channels.

Other Images in This Article

Show More

Copyright and Terms & Conditions

Additional terms of reuse