Image Details

Choose export citation format:

The James Webb Space Telescope NIRSpec-PRISM Transmission Spectrum of the Super-puff, Kepler-51d

  • Authors: Jessica E. Libby-Roberts, Aaron Bello-Arufe, Zachory K. Berta-Thompson, Caleb I. Cañas, Yayaati Chachan, Renyu Hu, Yui Kawashima, Catriona Murray, Kazumasa Ohno, Armen Tokadjian, Suvrath Mahadevan, Kento Masuda, Leslie Hebb, Caroline Morley, Guangwei Fu, Peter Gao, Kevin B. Stevenson

Jessica E. Libby-Roberts et al 2026 The Astronomical Journal 171 .

  • Provider: AAS Journals

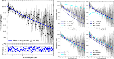
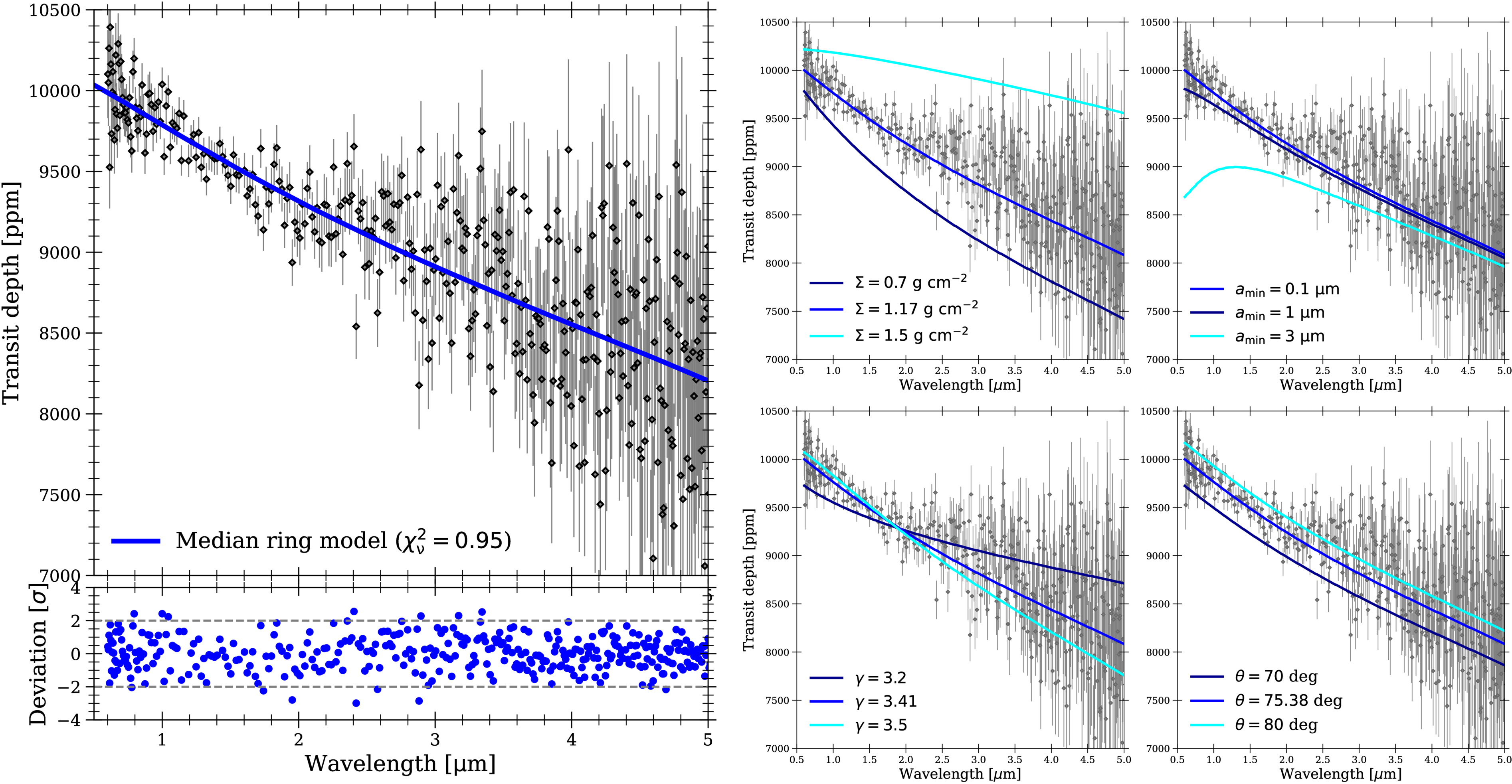
Caption: Figure 10.

Median ring spectrum (top-left panel) and the model deviation from each data point (bottom-left panel). The right four panels demonstrate how the median spectrum gets affected by the perturbation on ring column mass density Σ, minimum particle size ﹩{a}_{{\rm{\min }}}﹩, power-law index of the size distribution γ, and ring obliquity θ.

Other Images in This Article

Show More

Copyright and Terms & Conditions

Additional terms of reuse