Image Details

Choose export citation format:

On the Exoplanet Yield of Gaia Astrometry

  • Authors: Caleb Lammers, Joshua N. Winn

Caleb Lammers and Joshua N. Winn 2026 The Astronomical Journal 171 .

  • Provider: AAS Journals

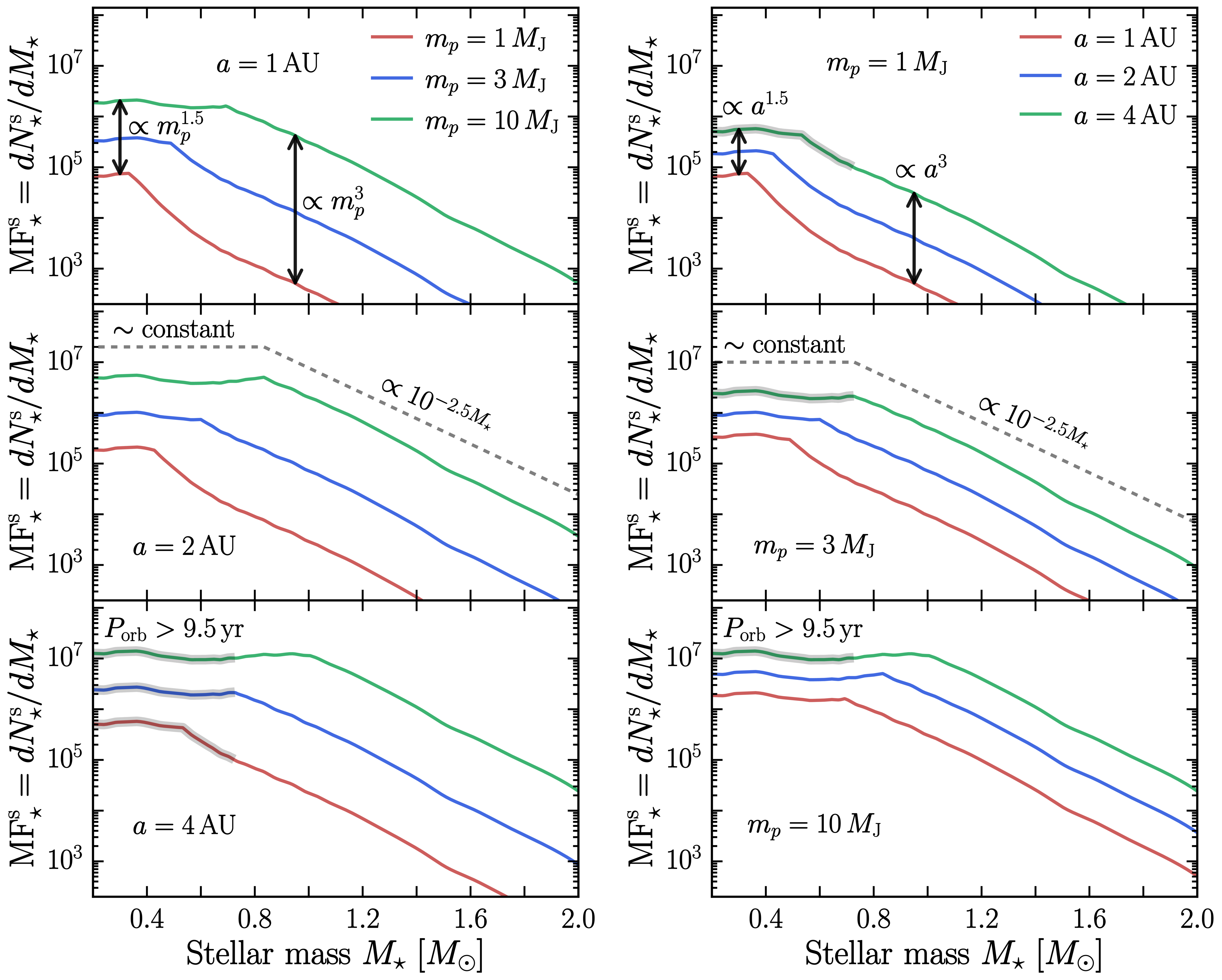
Caption: Figure 6.

Predictions for the MF of stars that could host a Gaia-detectable planet (MF﹩{}_{\star }^{{{\rm{s}}}}﹩) in DR5. Plots in the left column show MF﹩{}_{\star }^{{{\rm{s}}}}﹩, in units of ﹩{M}_{\odot }^{-1}﹩, vs. stellar mass for a fixed orbital radius and three different choices of planet mass. Plots on the right show MF vs. stellar mass for planets with a fixed mass and three different choices of orbital radius. As the stellar mass rises, MF is initially constant before suddenly falling as ﹩1{0}^{-2.5{M}_{\star }}﹩. The transition occurs when the searchable stars cross G = 14, the breakpoint in our model of Gaia’s astrometric precision (see Figure 4). The black arrows illustrate how MF﹩{}_{\star }^{{{\rm{s}}}}﹩ scales with mp and a. Millions of stars could host detectable planets, most of which are less massive than the Sun.

Other Images in This Article

Show More

Copyright and Terms & Conditions

Additional terms of reuse