Image Details

Choose export citation format:

On the Exoplanet Yield of Gaia Astrometry

  • Authors: Caleb Lammers, Joshua N. Winn

Caleb Lammers and Joshua N. Winn 2026 The Astronomical Journal 171 .

  • Provider: AAS Journals

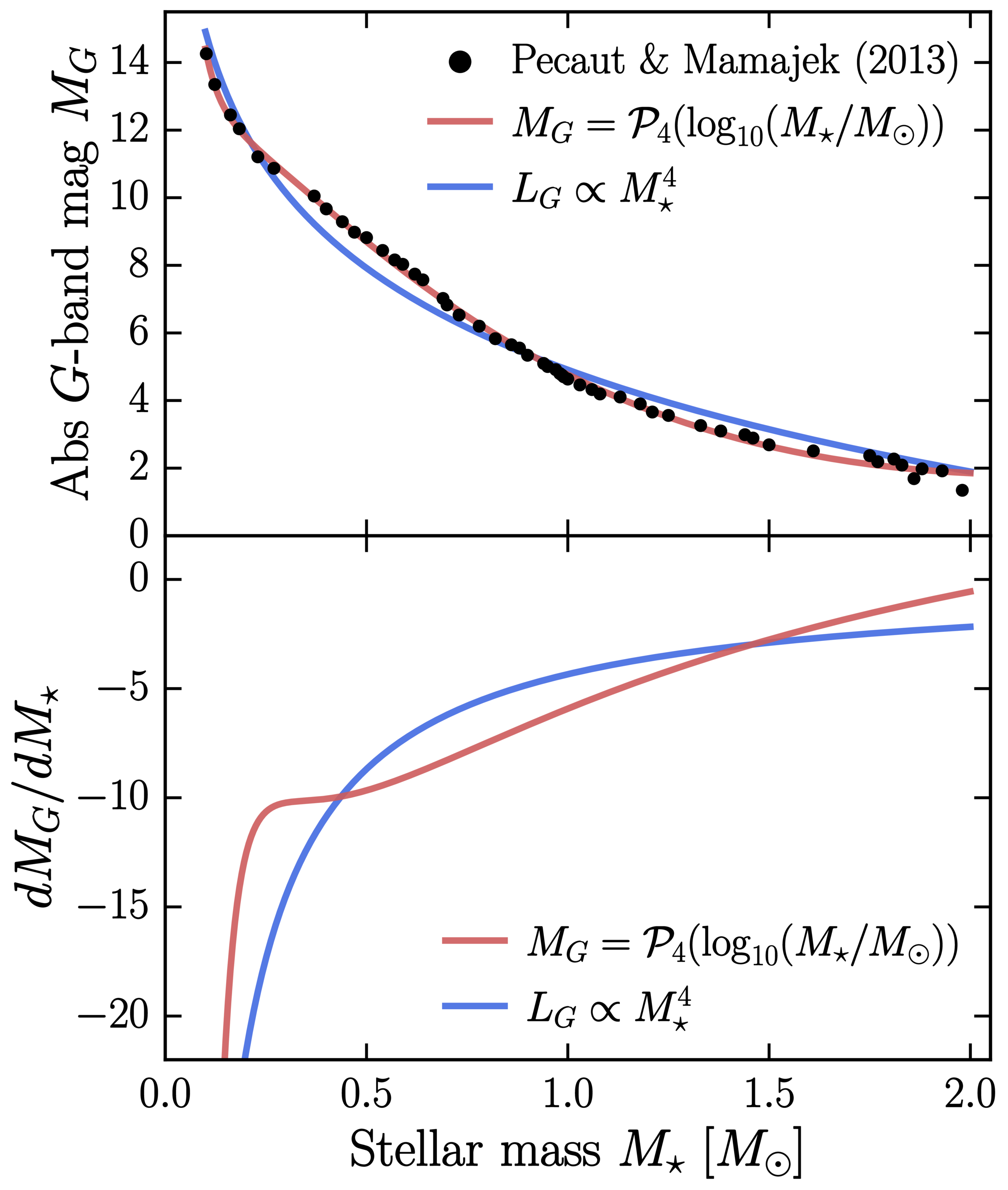
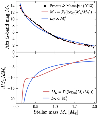
Caption: Figure 2.

The top panel shows the absolute G-band magnitude vs. stellar mass for main-sequence stars, from M. J. Pecaut & E. E. Mamajek (2013, and online updates). The best-fit fourth-order polynomial is plotted in red. The blue curve is the best-fit single-parameter function ﹩{L}_{G}\propto {M}_{\star }^{4}﹩ or, equivalently, ﹩{M}_{G}\,=\,-10{{\mathrm{log}}}_{10}({M}_{\star }/{M}_{\odot })\,+\,C﹩. The bottom panel shows the derivative dMG/dM, in units of ﹩{M}_{\odot }^{-1}﹩, which is needed to convert the luminosity function into a mass function (MF).

Other Images in This Article

Show More

Copyright and Terms & Conditions

Additional terms of reuse