Image Details

Choose export citation format:

X-Ray and UV Observations of the Young Sun HIP 67522: Evidence of Lyα Absorption within the Planetary System

  • Authors: Cynthia S. Froning, Allison Youngblood, David J. Wilson, Girish M. Duvvuri, Kevin France, P. Christian Schneider, J. Sebastian Pineda, Alexander Brown, Angeli Sandoval, Thomas Ayres

Cynthia S. Froning et al 2026 The Astronomical Journal 171 .

  • Provider: AAS Journals

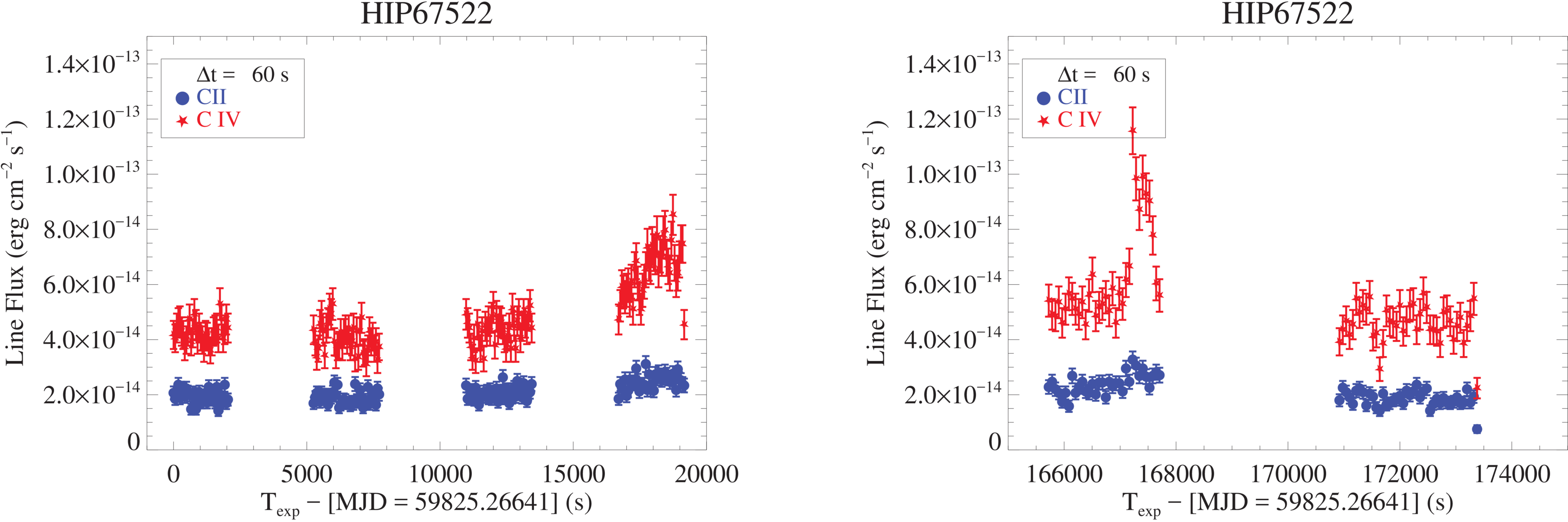
Caption: Figure 3.

Line flux measurements for C II and C IV are shown, binned into 60 s increments.

Other Images in This Article

Show More

Copyright and Terms & Conditions

Additional terms of reuse