Image Details

Choose export citation format:

iSTARMOD: A Python Code to Quantify Chromospheric Activity by Using the Spectral Subtraction Technique

  • Authors: Fernando Labarga, David Montes

Fernando Labarga and David Montes 2026 The Astronomical Journal 171 .

  • Provider: AAS Journals

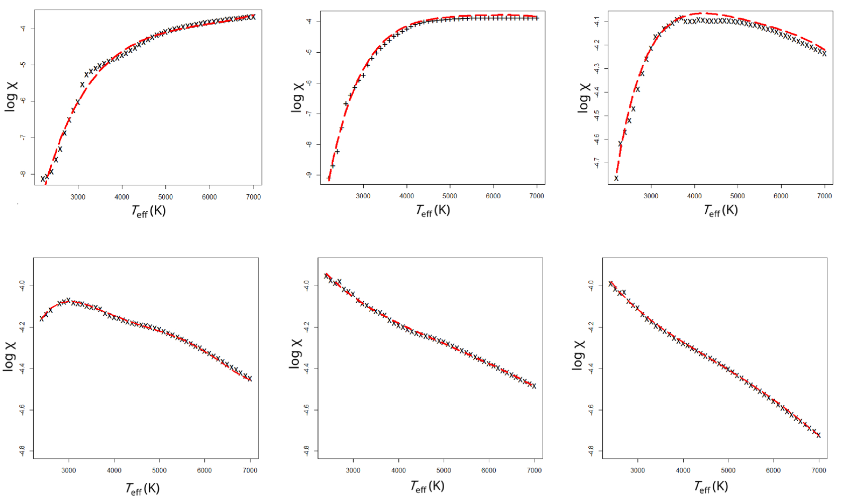
Caption: Figure 8.

First row: calibration for the Ca II H and K doublet (left panel), He I D3 and also Na I D1, D2 (middle panel), and Ca II IRT lines (right panel). Second row: the curves for Paδ (left panel), Paγ + He I λ10830 (middle panel) and Paβ (right panel). All are in the range of effective temperatures [2200, 7000] K. The calibration curve for Hα can be seen in Figure 4.

Other Images in This Article
Copyright and Terms & Conditions

Additional terms of reuse